sábado, 7 de marzo de 2015

Semana del 2 al 6 de marzo

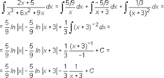
Esta semana en clase con Luis, empezamos a ver cosas nuevas. El día martes 3 de marzo, no estuve presente en la clase de Luis debido a que tenía espasmos estomacales. Sin embargo, lo que se vio ese día fue las integrales. Le pidió a mis compañeros copiar que eran las integrales y de igual forma copiar varios ejemplos que venían en el libro. Dejó algunos ejercicios de tarea para entregar el día siguiente.
 Image result for integrales


El día jueves 5 de marzo Luis mencionó que teníamos que resolver un problema utilizando la primera y segunda derivada y dos integrales. Los problemas y ejercicios los dejó al azar y nos dio 15 minutos para realizarlos. Pude resolver mi problema sin ningún inconveniente, pero al no haber estado en clases regulares con Luis durante una semana, se me dificultó realizarlas integrales. Seguí un ejemplo del libro y logré resolver una. Sin embargo, no pude explicar el procedimiento porque lo desconocía.Casi al final de la clase vimos un nuevo tema, las sumatorias. Resolvió algunos ejercicios del libro y nos dejó una tarea para entregar al día siguiente.
 
Image result for sumatoria

No hay comentarios:

Publicar un comentario